按照教育部、教育主管部门和公司最新文件要求,为了进一步加强学风建设,树立科学评价导向,引导员工德智体美劳全面发展,加大拔尖创新人才选拔培养力度,切实提高推免工作质量,结合公司工作实际,特对《bevictor伟德推荐优秀应届本科毕业生免试攻读硕士学位研究生工作实施细则》进行修订。
一、推荐原则
(一)推荐工作坚持自愿申请、全面衡量、择优选拔的基本原则。
(二)推荐工作坚持公开、公正、公平的原则,坚持落实“集体研究、集体决策”机制,规范执行回避制度。
(三)落实立德树人根本任务。坚持德智体美劳全面衡量,坚持以德为先,把员工思想品德考核作为推免生遴选的重要内容和录取的重要依据,严格遵循实事求是的原则,注重对员工政治态度、思想表现、道德品质、科学精神、诚实守信、遵纪守法等方面的考查,思想品德考核不合格者不予推荐和录取。
(四)突出考查员工的一贯学业表现,注重并加强对员工本科阶段学习情况的过程性评价,将本科阶段学业综合成绩作为推免工作最基础的遴选指标,不专门组织遴选推免生的考试(包括笔试、面试等)。
(五)引导员工全面发展。可将员工参军入伍服兵役、参加志愿服务、到国际组织实习、科研成果、竞赛获奖等符合全面发展价值导向的因素纳入推免生遴选指标体系,综合评价员工的各方面表现。
(六)统筹分配推免指标。公司按照公司下达的推免生名额和相关文件精神, 把各专业/班级应届毕业生人数作为名额分配基础,综合考虑人才培养质量、专业建设水平等,科学合理制定推免名额分配办法,确定各专业/班级推免生名额。
二、组织领导
依据公司相关规定,成立公司推荐工作领导小组,领导小组由公司主要负责人任组长,成员包括公司班子成员、系主任、团学负责人、研究生教学秘书,全面负责推荐免试研究生的各项工作。
三、推免条件
(一)纳入国家普通本科招生计划录取的应届毕业生(不含专升本),且毕业时能够获得学士学位。
(二)政治态度、思想表现、道德品质、科学精神、诚实守信、 遵纪守法等思想品德考核合格,无任何违法违纪受处分记录,无任何考试作弊和剽窃他人学术成果记录。
(三)学业成绩排名应在本专业(或本班)前25%,必修课成绩平均在75分以上,选修课必须60分以上,第一至第三学年所有修读的各门成绩无不及格记录(包括第一至第三学年中所有的必修课及全部选修课,其中选修课以教务系统中员工所选择课程为依据确定)。凡是及格后再重修的,该课程分数以第1次得分为准,重修所得分数不再计入。
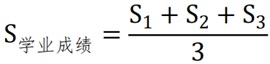
员工学业成绩按照《伟德国际1946员工素质评价办法》中第七条规定的“学业成绩测评”方法进行计算。计算公式如下:

其中,S1表示员工第一学年学业成绩(即第一学年提交公司的该生员工素质评价中的学业成绩),S2表示员工第二学年学业成绩(即第二学年提交公司的该生员工素质评价中的学业成绩),S3表示员工第三学年学业成绩(即第三学年提交公司的该生员工素质评价中的学业成绩)。
转专业员工以进入公司修读时间起算,原专业课程可以互抵的以教务认定为准。
(四)全国大学外语等级考试四级达到规定要求(710分制达到425分及以上,100分制达到60分及以上)。高中阶段为民族语言授课员工外语成绩适当放宽(具体为:710分制不低于345分,100分制不低于48分)。
(五)公司将员工参军入伍服兵役、参加志愿服务、到国际组织实习、科研成果、竞赛获奖等符合全面发展价值导向等因素纳入推免生遴选指标体系,综合评价员工的各方面表现。员工在某一方面有多项加分情况时,原则上只取一项,各项加分累计不超过0.6 分,不得为仅符合单一或部分遴选指标的员工单列计划或破格推荐。
1.员工本科阶段以独立作者或第一作者发表的、以伟德国际1946为第一单位的与学业密切相关的,且《伟德国际1946科技处(社会科学处)科研业绩分类参考》认定的科研论文,C类及以上加0.3分,D类加0.15分;获得排名第一国家授权的发明专利加0.1分,获得排名第一国家授权的实用新型专利、外观设计专利、软件著作权加0.05分。论文、发明专利、实用新型专利、外观设计专利和软件著作权五项中每项仅允许提交一份加分佐证,累计加分最高不超过0.3分。
2.员工本科阶段作为主力成员参加与学业相关的竞赛(教务处制定的本科生学科竞赛目录内的经济管理专业相关竞赛)、中国国际老员工创新大赛、“挑战杯”全国老员工课外学术科技作品竞赛、“挑战杯”中国老员工创业计划大赛,获得国家级一等奖及以上排名第一的员工加0.3分,其他人员加0.15分;国家级二等奖排名第一的员工加0.2分,其他人员加0.1分;国家级三等奖排名第一的员工加0.1分,其他人员加0.05分。每项竞赛仅允许提交一份加分佐证,以上任何竞赛作为其他人员仅允许提交一份加分佐证,累计加分最高不超过0.3分。
四、推免工作流程
(一)发布通知。公司成立推免生遴选工作领导小组,发布通知公告,明确申请时间、申报细则和推免生名额等信息。
(二)员工申请。符合遴选基本条件的员工,可向公司提交申请,填写《伟德国际1946推荐免试攻读硕士学位研究生资格申请表》,并提交相应证明材料(包括成绩单、大学外语四级或六级成绩单或证书、获奖证书、科研工作证明材料、发表论文原件、专利证书、计算机软件著作权登记证书等)。
(三)材料审核及核算。
推免核定最终成绩核算公式为:

其中S学业成绩以本文件【三、推免条件中的第(三)点】确定;S加分1以本文件【三、推免条件中的第(五)点第1项】确定;S加分2以本文件【三、推免条件中的第(五)点第2项】确定。
(四)公司遴选。公司推免生遴选工作领导小组根据申请人推免核定最终成绩进行遴选排序,若推免核定最终成绩相同情况下,优先考虑顺序为:学业成绩、研究能力、全国老员工外语等级及成绩(等级高者优先,等级相同的,成绩高者优先)、员工本科期间应征入伍退役、到国际组织实习三个月及以上、志愿服务事迹突出影响广泛、在校期间获得校级以上奖学金、优秀员工干部。其中涉及等级的,以等级高低区分,等级相同的,以成绩或成效区分。确定初选名单后在公司网站公示不少于3个工作日。
(五)公示结束后,公司将公示无异议的推免生初选名单报公司推免生遴选工作领导小组办公室。
五、其他事宜
(一)严格执行信息公开制度。推免生工作是一项严肃且政策性很强的工作,公司认真落实教育部、自治区和公司相关政策和规定,切实做好推免招生信息公开工作,保证推免工作各个环节透明,坚持公正、公开、公平的原则,严格选拔。
(二)加强规范管理。公司规范工作程序,严格贯彻落实《普通高等公司招生违规行为处理暂行办法》(教育部令第36号),对未按相关政策要求开展推免工作的及开具假证明或改动员工学习成绩、班内排名等的,以上情况一经发现,按照招生违规行为的相关处理规定立即取消被推荐者的推荐免试资格,并取消其硕士研究生的报考资格,严肃处理并追究直接责任人员的责任,造成严重后果和恶劣影响的,还将按规定对有关责任人实行问责,对参与舞弊行为的当事人视情节给予批评或处分,直至追究其法律责任。
对在申请推免生过程中弄虚作假的员工,一经发现,即取消推免生资格,对已录取者取消录取资格和学籍,公司按员工管理规定进行相应处理。
(三)严格执行回避制度。校、院两级推免生遴选工作领导小组成员须无直系亲属或利益相关人员参加本单位推免工作,有非直系亲属等报名参加推免招生的要主动报备。相关员工申请推免资格时也应主动向公司报备声明。对未按规定报备声明回避关系的推免相关工作人员,公司依规依纪严肃处理;对未按规定报备声明回避关系且影响推免过程和结果公平公正的员工,将取消其推免资格。
(四)充分保障员工自主报考。鼓励推免生在不同地区间、不同招生单位间及不同学科间的交流,不得以任何形式限制推免生报考。
(五)公司将推免工作中员工的申诉,纳入校内申诉渠道。
六、附则
本细则自公布之日起施行,由bevictor伟德负责解释,未尽事宜,按《伟德国际1946推荐优秀应届本科毕业生免试攻读硕士学位研究生工作实施办法(修订)》文件执行。
附件:
1.伟德国际1946推荐免试攻读硕士学位研究生申请表所附相关材料清单;
2.伟德国际1946推荐免试攻读硕士学位研究生资格申请表;
3.伟德国际1946推荐免试攻读硕士学位研究生情况汇总表;
4.诚信承诺书;
bevictor伟德
2025年9月4日